股票配资交流论坛-杠杆交易怎么操作-【东方资本】,股票配资网址大全最新,证券公司排名前十名,选股最简单三个指标

無錫市紅星化工廠

有機烷(氧)基磷酸酯系列產品專業供應商

主要生產磷酸三異丁酯、磷酸三丁酯、磷酸三乙酯三個品種8個規格


產品展示

磷酸三異丁酯

產品概述

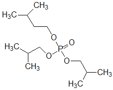
產品名稱:磷酸三異丁酯

別 名:三異丁基磷酸酯,磷酸三(2-甲基-1-丙基)酯

英文名:Triisobutyl phosphate; Isobutyl phosphate; Phosphoric acid, triisobutyl ester;Phosphoric acid, tris(2-methylpropyl) ester;Tris(2-methylpropyl) phosphate

商品名:磷酸三異丁酯,TIBP

分子式:C12H27O4P

結構式:

相對分子質量:266.32(根據2007年國際相對原子質量)

CAS號:126-71-6

EINECS號:204-798-3

RETCS號:TC9300000

HS編碼:291990000.90

物理化學性質

物理性狀:無色透明液體,具產品特征性氣味,溶點小于-60℃,沸點264℃,相對密度0.9646(25/4℃),折光率1.4190,動力粘度:5mPa•s(20℃),辛醇/水分配系數的對數值:3.7,難溶于水,混溶于醇、醚等多種有機溶劑。

化學性質:具有酯的通性,在堿性條件下水解。

GHS危險性分類

危險性類別:

皮膚過敏:類別1B

危險性說明:

可能引起皮膚過敏反應!

物理和化學危險性

物理危險性:蒸氣比空氣重并沿水平方向伸展,在低洼處積聚。包裝容器受高熱內壓增大可能破裂。

化學危險性:可燃,強加熱,其蒸氣與空氣可形成爆炸性混合物。遇高熱、明火有引起燃燒爆炸的危險,與氧化劑、堿能發生強烈反應。燃燒或受熱時分解生成磷氧化物有毒煙霧。與熱水反應生成腐蝕的磷酸和異丁醇。侵蝕某些塑料、橡膠和涂料。

燃燒(分解)產物:一氧化碳、二氧化碳、氧化磷、磷烷。

健康危害:

侵入途徑:可通過吸入其蒸氣和經食入吸收到體內。

急性毒性:

LD50:>5000mg/kg(大鼠經口);
LD50:>50000mg/kg(兔經皮);
LC50:5.14mg/l/4h(大鼠吸入)。

健康危害:

本品體外對人血漿中膽堿酯酶有輕度抑制作用,對呼吸道有刺激作用,可引起中樞神經興奮作用。

環境危害

對水生生物有害。

儲存要求

按標準規范要求儲存。庫房應陰涼、通風、干燥,遠離火種、熱源。

穩定性:常溫常壓密閉條件下儲存穩定。正常環境溫度下使用穩定。

避免接觸條件:強加熱。

禁配物:強氧化劑、堿、酸。

運輸要求

建議采用道路或鐵路運輸,裝運時應保持容器密閉,包裝加于固定。不得與禁配物、食品等混運。運輸時避免日曬雨淋,運輸車輛配備相應的滅火器材。輕裝輕卸。

防護要求

呼吸系統防護:有蒸氣/煙霧產生時必須佩戴自吸過濾式防毒面具(全面罩)。緊急事態搶救或撤離時,應該佩戴自給式呼吸器。

手防護:

全面接觸:戴丁基橡膠手套。厚度:0.7mm,穿透時間>480min。

飛濺接觸:氟橡膠手套。厚度:0.7mm,穿透時間>30min。

眼睛防護:戴化學安全防護眼鏡。

皮膚和身體防護:穿防護服。

預防措施

避免吸入煙霧/蒸氣。污染的工作服不得帶出工作場所。戴防護手套/穿防護服。

應急措施

吸入:立即轉移到空氣新鮮處,保持平靜。保持呼吸道通暢,呼吸困難時給輸氧,呼吸不規則或呼吸停止時,進行人工呼吸或心肺復蘇術,就醫。

皮膚接觸:用大量肥皂水和水清洗。污染的衣服洗凈后方可重新使用。

眼睛接觸:用水細心沖洗數分鐘,如戴隱形眼鏡并可方便地取出,取出隱形眼鏡,繼續至少15min沖洗。

食入:立即漱口,然后給飲200-300ml水。就醫。

火災時,使用干粉、二氧化碳、抗溶性泡沫滅火。禁止使用高壓水滅火。

廢棄處置

廢棄處置前應參閱國家和地方法規。

產品用途

主要用作溶劑、消泡劑、滲透劑、增塑劑。用于消泡劑、液壓油、印染助劑、油墨、紡織助劑、染料助劑、合成樹脂及纖維素基塑料的生產。還可用于建筑、油田固井等領域。

嚴禁用于人及動物食品、飼料添加劑。

產品技術質量指標:

執行企業標準:Q/320205GKAM02

項目 指標
色度,APHA      20
折射率 1.4190∼1.4200
酸值, mgKOH/g ≤ 0.1
水分(H2O),w% ≤ 0.1
密度(20℃),g/ml 0.960~0.970
含量[(C4H9O)3PO],w% ≥ 99.0

產品包裝

25kg塑桶、200kg鐵桶、IBC、ISO-TANK。

產品說明書

無錫市紅星化工廠